2023全国100所名校单元测试示范卷数学必修二答案
2023全国100所名校单元测试示范卷数学必修二答案,全国100所名校答案网已经编辑汇总了2023全国100所名校单元测试示范卷数学必修二答案的各科答案和试卷,更多全国100所名校答案请关注本网站。
全国100所名校试卷高一数学

16[-525]【解析】①当入=1时,a。十a+2+2S.=S.+1,令n=1,则a1十a:十2S1=S:,即a:=2a1+as,所以a2=2×1+5=7:②当a=2时,a.十a+十2S.=2S+1,所以a.十a.+2=2a+1,所以{a.}为等差数列,设公差为d,又ai十ai=4,所以(as-d)2+(a+2d0)2=4,即5P+2ad+2a一4=0,把其看作关于d的方程,则4a号一20(2ai-40≥0.解得-25
全国名校排行榜前100所



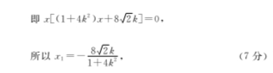
21.解:(1)由题知B(0,b),B2(0,一b),设F(一c,0),所以F克,=(c,b),FB=(c,-b),所以FB·FB.=2一=4,所以a2一26=4,①(2分)张所以号=1子=十@联立①②,解得a=22,b=√2,(4分)所以C的方程为后+兰=1.(5分)(2)易知点B1(0√E),直线BM,B,N的斜率存在,设直线B,M:y=kx十E,M(x1y1),N(x2为)y=kx十E,联立得(1十4k2)x2+82kx=0,即x[(1+4k2)x+8√2k]=0,所以d1=-8Ek1+4k(7分)又BM⊥B,N,则BNy=-+E,同理可得=8Zk4十k1(8分)所以直线1的斜率k'=当一边=二名:一知xa一xi子×腰+x品盛4十k21十4=-182k18/2k5k4十k1+4k所以直线1的方程为y=1(x-x)+y-“(+屦)+×()+E,化简得y-华,(11分)则直线1恒过定点(0,-3)(12分)

