2023全国100所名校单元测试示范卷高三十八数学答案
2023全国100所名校单元测试示范卷高三十八数学答案,全国100所名校答案网已经编辑汇总了2023全国100所名校单元测试示范卷高三十八数学答案的各科答案和试卷,更多全国100所名校答案请关注本网站。
全国100所名校高三历史卷5

1,号一式=1(答案不唯一)【解析】“焦点在x轴20上的双曲线E的一条渐近线方程为y=2x,.设双由线E的标准方程为号一黄-1(a>0),根指题意得2√5入≥10,解得入≥5,令1=5可得双曲线的标准方程为号一=1
全国100所名校交流新群答案


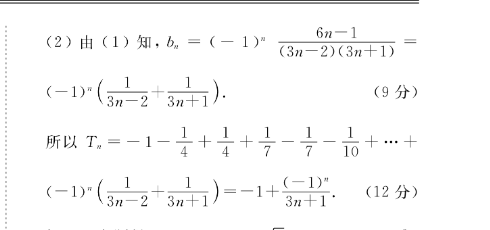
2n2、318.解:(1)因为nS+1-(n十1)S。-=0,所以ms1-(a+1S,=号+2n,即nS.-n+1)s.=号(n+1所以-号7=21且于=1,所以{母}是以1为首项,号为公差的等差数列,(3分)所以受=-,所以S=r-司2①,所以S.1=2(m-1)-合(m-1D,≥2@,①一②得am=3n一2,n≥2.(6分)》又a1=1,满足上式,所以am=3n一2,n∈N.(7分)·3(2)由(1)知,b。=(-1)”6n-1(3n-2)(3n十1)(-1(3n2+3中(9分)所以工=-1-}+号+号-号-品+…+-1少(n23-)=-1+n(12分)

