全国100所名校试题答案
全国100所名校试题答案,全国100所名校答案网已经编辑汇总了全国100所名校试题答案的各科答案和试卷,更多全国100所名校答案请关注本网站。
全国100所名校数学模拟6


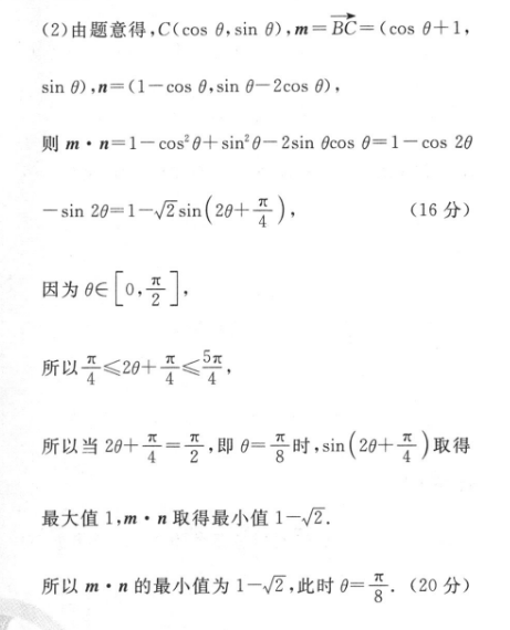
11.解:(1)设D(t,0)(0≤t≤1),由题意知c(-号,号)所以0心+oi=(-号+,号):所以o心+o:=(-号)+安,所以当:=号时,0心+O心最小,最小值为号(10分)(2)由题意得,C(cos0,sin0),m=BC=(cos0+1,sin 0),n=(1-cos 0,sin 0-2cos 0),则m·n=1-cos20+sin20-2sin0cos0=1-cos20-sin20=1-√2sin(20+开),(16分)因为9e[0,受],所以牙<29+<,所以当20+冬=受,即0=吾时,si血(20+)取得最大值1,m·n取得最小值1一√2.所以m·n的最小值为1-√区,此时0=吾.(20分)
全国100所名校政治卷答案五


11.(22分)(1)负(3分)(2)变大(3分)2H2O-4e-O2个+4H+(4分)(3)B(4分)(4)负(4分)H2+2OH-一2e—2H2O(4分)》【解析】C、D和电解池中都充满浓KOH溶液,实际是电解水,由C、D中产生的气体体积可知,C中气体为H2,D中气体为O2,则M为阴极,N为阳极,R为电源负极,S为电源正极,B为阳极,A为阴极。(1)由上述分析可知,R为电源负极。(2)电解KOH的实质是电解水,通电一段时间后,电解池中KOH溶液的浓度增大,溶液的pH变大;E为浸过含酚酞的Na2SO4溶液的滤纸,B为阳极,电极反应式为2H2O-4e—O2个+4H+。(3)B为阳极,阴离子(MnO4)向阳极移动,则滤纸上的紫色点向B方向移动。(4)当C、D中的气体产生到一定量时,切断外电源并接通开关K,C、D和KOH溶液构成燃料电池,经过一段时间,C、D中的气体逐渐减少,H2和O2反应生成水,在碱性条件下,C中H2发生氧化反应,C为负极,电极反应式为H2+2OH-一2e=2H2O。

